济州岛赌场

请输入搜索信息

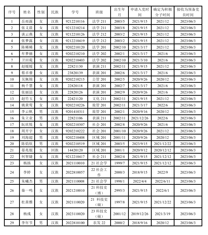
人文院2024上半年预备党员转正公示

发布时间:2024/06/03     访问次数:


根据《发展党员工作实施细则》有关规定,经本人转正申请、基层党支部考察、济州岛赌场 党委审查,拟将下列同志转正为中国共产党正式党员。公示如下:

公示时间为即日起7天内(63日—69日),凡对上述同志转正有异议,请以书面的形式向学院党委反映。

联系电话:84395445

办公地址:逸夫楼6049

中共济州岛赌场-济州岛娱乐-韩国济州岛官网 委员会

202463